Continuidad de funciones: Teoría completa
Imagina que estás dibujando la gráfica de una función a mano alzada. Si puedes hacerlo de un extremo a otro […]
Imagina que estás dibujando la gráfica de una función a mano alzada. Si puedes hacerlo de un extremo a otro […]
¿Te imaginas una máquina que toma un número, lo multiplica por 3 y luego le suma 5? Su función sería
Imagina que tienes dos máquinas: una que suma 3 a cualquier número que le des (f(x)=x+3) y otra que calcula
Imagina que una función es una máquina: tú introduces un número (la ‘x’) y la máquina te devuelve otro (la
¿Alguna vez te has encontrado con una ecuación como sen(x) = 1/2 y has pensado: «¿Y ahora qué? ¿x es
¿Alguna vez te has topado con una ecuación donde la incógnita está en el exponente, como en 2ˣ = 8,
¿Te has encontrado alguna vez con un polinomio largo y complejo, como P(x) = x³ – 2x² – 5x +
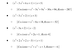
¿Alguna vez te has preguntado cómo encontrar, de manera eficiente, los valores de ‘x’ que hacen que un polinomio se
¿Qué pasa cuando intentas resolver la ecuación x² + 1 = 0? Si eres como la mayoría de estudiantes, habrás